Notice
Recent Posts
Recent Comments
Link
| 일 | 월 | 화 | 수 | 목 | 금 | 토 |
|---|---|---|---|---|---|---|
| 1 | 2 | 3 | 4 | 5 | 6 | |
| 7 | 8 | 9 | 10 | 11 | 12 | 13 |
| 14 | 15 | 16 | 17 | 18 | 19 | 20 |
| 21 | 22 | 23 | 24 | 25 | 26 | 27 |
| 28 | 29 | 30 | 31 |
Tags
- 파이널프로젝트
- 프로그래머스
- 스케일아웃
- 해시
- 폰켓몬
- 트리맵
- 구현
- flyway
- fatch
- 트리셋
- 백준
- 산업은행청년인턴
- BFS
- 임베디드타입
- 프로젝트
- 운영체제
- 가상 면접 사례로 배우는 대규모 시스템 설계 기초
- 그래프탐색
- CS
- 코테
- 2178
- SpringBatch
- CPU스케줄링
- DB replication
- Spring JPA
- 산업은행it
- findById
- JPA
- 외래키제약조건위반
- 컴퓨터구조
Archives
- Today
- Total
나 JAVA 봐라
BFS 너비 우선 탐색 본문
BFS (Breadth Fisrt Search)
- 너비 우선 탐색 이라고 부른다.
- 가까운 노드부터 우선적으로 탐색하기 때문에 넓게 탐색해서 너비 우선 탐색이다.
- Queue 자료구조를 사용하여 구현할 수 있다.
탐색 방식
- 루트 노드 (혹은 다른 임의의 노드) 에서 시작하여 인접한 노드를 먼저 탐색한다.
- 사용하는 경우: 두 노드 사이의 최단 경로 혹은 임의의 경로를 찾고 싶을 때 이 방법을 선택한다.
- ex) 미로 탐색 (최단 거리)
특징
- 시작 정점으로부터 거리가 가까운 정점의 순서로 탐색한다. (거리 1 탐색 후, 2,3,4 순서로 탐색)
- 그래프 탐색의 경우, 어떤 노드를 방문했었는지의 여부를 반드시 검사해야한다. 그래서 노드를 큐에 담을 때에는 꼭 방문처리를 한 후에 담는다. 방문 여부를 체크하지 않으면 무한루프에 빠질 수 있다. (이미 방문한 노드를 계속 큐에 넣을 수 있기 때문)
- 그렇기 때문에 BFS는 재귀적으로 동작하지 않는다.
- 일반적으로 큐를 이용하여 반복적 형태로 구현하는 것이 가장 잘 동작한다.
- 가까운 노드를 방문하여 차례로 저장하여 꺼낼 수 있도록 Queue 자료구조를 사용한다. 이를 통해 선입선출 방식으로 탐색할 수 있게 된다.

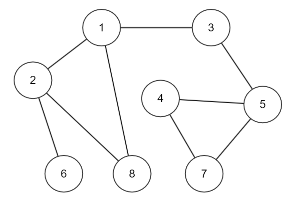
1번 노드부터 BFS 탐색을 하면 1->2->3->8->6->5->4->7 순서로 탐색이 된다.
탐색의 순서는 아래와 같다.
- 큐에 1번 노드(시작노드)을 넣고 방문처리 한다. (큐에 넣으려면 '반드시' 방문처리를 한다.)
- 큐에 있는 1번 노드를 꺼내서 1번 노드와 연결된 노드들을 체크한다.
- 이미 방문했다 -> pass
- 방문하지 않았다 -> 방문 표시 하고, 큐에 넣는다.
- 큐에 담긴 다른 노드도 꺼내서, 2번을 반복한다.
- 큐가 끝날 때까지 반복해주면 끝
위의 그래프를 통해 실제 java 코드로는 어떻게 구현될까?
import java.util.LinkedList;
import java.util.Queue;
public class StudyBFS {
public static void main(String[] args) {
// 그래프를 2차원 배열로 표현해줍니다.
// 배열의 인덱스를 노드와 매칭시켜서 사용하기 위해 인덱스 0은 아무것도 저장하지 않습니다.
// 1번인덱스는 1번노드를 뜻하고 노드의 배열의 값은 연결된 노드들입니다.
int[][] graph = {{}, {2,3,8}, {1,6,8}, {1,5}, {5,7}, {3,4,7}, {2}, {4,5}, {1,2}};
// 방문처리를 위한 boolean배열 선언
boolean[] visited = new boolean[9];
System.out.println(bfs(1, graph, visited));
//출력 내용 : 1 -> 2 -> 3 -> 8 -> 6 -> 5 -> 4 -> 7 ->
}
static String bfs(int start, int[][] graph, boolean[] visited) {
// 탐색 순서를 출력하기 위한 용도
StringBuilder sb = new StringBuilder();
// BFS에 사용할 큐를 생성해줍니다.
Queue<Integer> q = new LinkedList<Integer>();
// 큐에 BFS를 시작 할 노드 번호를 넣어줍니다.
q.offer(start);
// 시작노드 방문처리
visited[start] = true;
// 큐가 빌 때까지 반복
while(!q.isEmpty()) {
int nodeIndex = q.poll();
sb.append(nodeIndex + " -> ");
//큐에서 꺼낸 노드와 연결된 노드들 체크
for(int i=0; i<graph[nodeIndex].length; i++) {
int temp = graph[nodeIndex][i];
// 방문하지 않았으면 방문처리 후 큐에 넣기
if(!visited[temp]) {
visited[temp] = true;
q.offer(temp);
}
}
}
// 탐색순서 리턴
return sb.toString() ;
}
}
출처
https://codingnojam.tistory.com/41
[Algorithm] BFS(Breadth-first search)를 Java로 구현해보자!
안녕하세요 코딩노잼입니다. 오늘은 BFS(너비 우선 탐색)을 Java로 구현해보겠습니다. 1. BFS (Breadth-first Search) BFS는 너비 우선 탐색이라고 부르기도 하며, 코딩 테스트에서 자주 등장하는 알고리즘
codingnojam.tistory.com
https://minhamina.tistory.com/36
[Java] BFS 너비 우선 탐색 - 인접리스트 / 인접행렬로 구현
BFS 너비 우선 탐색(Breadth First Search) "꼼꼼하게 좌우를 살피며 다니자"와 같이 시작 정점으로부터 가까운 정점을 먼저 방문하고 멀리 떨어져 있는 정점을 나중에 방문하는 알고리즘이다. 시작 정
minhamina.tistory.com
'CS > 자료구조' 카테고리의 다른 글
| DFS / 백트래킹 (0) | 2024.03.18 |
|---|---|
| 힙과 우선순위 큐 (0) | 2023.12.31 |